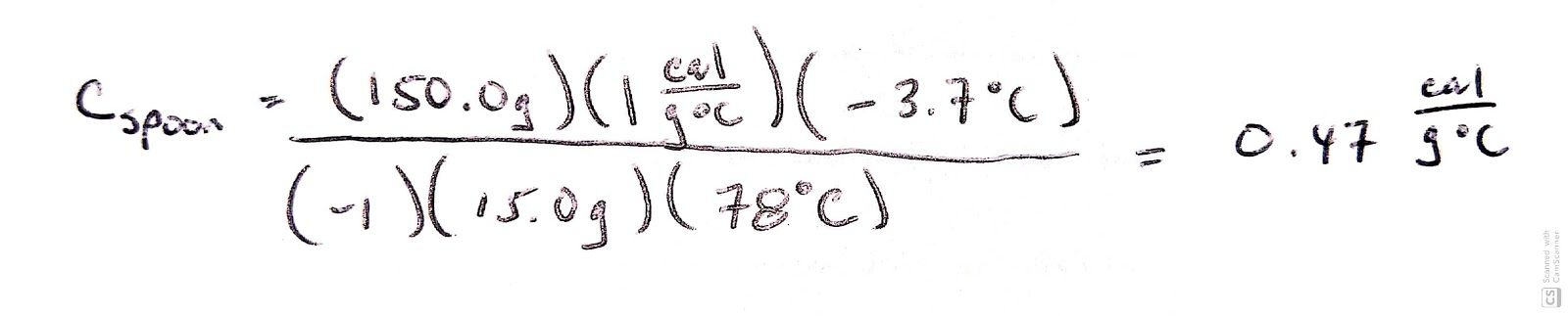
First, we can calculate the ΔT values for the spoon and for the water:
Next, we can rearrange the formula to solve for cspoon
Then we can substitute in our values and solve the problem.
Let's look at another problem.
Welcome to aBetterChemText
Why aBetterChemText?
What is aBetterChemtext? aBetterChemText is intended to be a new way to look at Chemistry. It is written in plain English to make it acc...
Subscribe to:
Post Comments (Atom)
-
The Beginnings of Science and Chemistry This thread of history takes us through Ancient Greece , through Northern Africa during what is cal...
-
In the discussion of Planck’s work, I suggested that we could understand quantization as being like money - everything is a multiple of the ...
-
Erwin Schrödinger is credited with developing our current understanding of the atom, although the theory would be impossible without the wo...



No comments:
Post a Comment